Ncert solutions for class 12 maths updates 2021-22
- Chapter 1 Relations and Functions
- Chapter 2 Inverse Trigonometric Functions
- Chapter 3 Matrices
- Chapter 4 Determinants
- Chapter 5 Continuity and Differentiability
- Chapter 6 Applications of Derivatives
- Chapter 7 Integrals
- Chapter 8 Applications of Integrals
- Chapter 9 Differential Equations
- Chapter 10 Vector Algebra
- Chapter 11 Three Dimensional Geometry
- Chapter 12 Linear Programming
- Chapter 13 Probability
Chapter 1 Relations and Functions
| Maths Class 12 NCERT Solutions Chapter 1 Exercises | 
|---|
| Exercise 1.1 | 
| Exercise 1.2 | 
| Exercise 1.3 | 
| Exercise 1.4 | 
| Miscellaneous Exercise | 
Chapter 2 Inverse Trigonometric Functions
Chapter 2, Inverse Trigonometric Functions of NCERT Class 12 Maths, gives an account of various topics such as the remarks based on basic concepts of inverse trigonometric functions, properties of inverse trigonometric functions and miscellaneous examples. These concepts are explained very well through examples. Solutions to the exercises from the chapter can be accessed from here.
Topics Covered in NCERT Solutions for Class 12 Maths Inverse Trigonometric Functions:
Definition, range, domain, principal value branch. Graphs of inverse trigonometric functions Elementary properties of inverse trigonometric functions. 
| Maths Class 12 NCERT Solutions Chapter 2 Exercises | 
|---|
| Exercise 2.1 | 
| Exercise 2.2 | 
| Miscellaneous Exercise | 
Chapter 3 Matrices
In Chapter 3 of NCERT textbook, we shall see the definition of a matrix, types of matrices, equality of matrices, operations on matrices such as the addition of matrices and multiplication of a matrix by a scalar, properties of matrix addition, properties of scalar multiplication, multiplication of matrices, properties of multiplication of matrices, transpose of a matrix, properties of the transpose of the matrix, symmetric and skew-symmetric matrices, elementary operation or transformation of a matrix, the inverse of a matrix by elementary operations and miscellaneous examples. Here, you can find the exercise solution links for the topics covered in this chapter.
Topics Covered in NCERT Solutions for Class 12 Maths Matrices:
Concept, notation, order, equality, types of matrices, zero and identity matrix, transpose of a matrix, symmetric and skew-symmetric matrices. Operation on matrices: Addition and multiplication and multiplication with a scalar. Simple properties of addition, multiplication and scalar multiplication. Non- commutativity of multiplication of matrices and existence of non-zero matrices whose product is the zero matrix (restricted to square matrices of order 2).Concept of elementary row and column operations. Invertible matrices and proof of the uniqueness of inverse, if it exists; (Here all matrices will have real entries).
| Maths Class 12 NCERT Solutions Chapter 3 Exercises | 
|---|
| Exercise 3.1 | 
| Exercise 3.2 | 
| Exercise 3.3 | 
| Exercise 3.4 | 
| Miscellaneous-Exercise | 
Chapter 4 Determinants
Chapter 4 of 12 Class NCERT Maths Solution discusses the topic of determinants. Students will get to learn about the definition and meaning of determinants, remarks based on order of determinants, properties of determinants, finding area of triangle using determinants, minors and cofactors of determinants, adjoint of a matrix, inverse of matrix, applications of determinants and matrices and miscellaneous examples. Below we have links provided to each exercise solution covered in this chapter.
Topics Covered in NCERT Solutions for Class 12 Maths Determinants:
Determinant of a square matrix (up to 3 x 3 matrices), properties of determinants, minors, co-factors and applications of determinants in finding the area of a triangle. Adjoint and inverse of a square matrix. Consistency, inconsistency and number of solutions of system of linear equations by examples, solving system of linear equations in two or three variables (having unique solution) using inverse of a matrix. 
| Maths Class 12 NCERT Solutions Chapter 4 Exercises | 
|---|
| Exercise 4.1 | 
| Exercise 4.2 | 
| Exercise 4.3 | 
| Exercise 4.4 | 
| Exercise 4.5 | 
| Exercise 4.6 | 
| Miscellaneous Exercise | 
Chapter 5 Continuity and Differentiability
Chapter 5 of NCERT textbook starts with the definition of continuity. Students go on to learn about continuity, algebra of continuous function, definition and meaning of differentiability, derivatives of composite functions, derivative of implicit functions, derivative of inverse trigonometric functions, exponential and logarithmic functions, logarithmic differentiation, derivatives of functions in parametric forms, second order derivatives, mean value theorem via miscellaneous examples. Here, students can find the exercises explaining these concepts properly with solutions.
Topics Covered in NCERT Solutions for Class 12 Maths Continuity and Differentiability:
Continuity and differentiability, derivative of composite functions, chain rule, derivative of inverse trigonometric functions, derivative of implicit functions. Concept of exponential and logarithmic functions. Derivatives of logarithmic and exponential functions. Logarithmic differentiation, derivative of functions expressed in parametric forms. Second order derivatives. Rolle’s and Lagrange’s Mean Value Theorems (without proof) and their geometric interpretation. 
| Maths Class 12 NCERT Solutions Chapter 5 Exercises | 
|---|
| Exercise 5.1 | 
| Exercise 5.2 | 
| Exercise 5.3 | 
| Exercise 5.4 | 
| Exercise 5.5 | 
| Exercise 5.6 | 
| Exercise 5.7 | 
| Exercise 5.8 | 
| Miscellaneous Exercise | 
Chapter 6 Applications of Derivatives
Chapter 6 of NCERT textbook, provides definition of derivatives, rate of change of quantities, increasing and decreasing functions, tangents and normals, approximations, maxima and minima, first derivative test, maximum and minimum values of a function in a closed interval and miscellaneous examples. Here, students can find the exercises explaining these concepts properly.
Topics Covered in NCERT Solutions for Class 12 Maths Applications of Derivatives:
Applications of derivatives: rate of change of bodies, increasing/decreasing functions, tangents and normals, use of derivatives in approximation, maxima and minima (first derivative test motivated geometrically and second derivative test given as a provable tool). Simple problems (that illustrate basic principles and understanding of the subject as well as real-life situations). 
| Maths Class 12 NCERT Solutions Chapter 6 Exercises | 
|---|
| Exercise 6.1 | 
| Exercise 6.2 | 
| Exercise 6.3 | 
| Exercise 6.4 | 
| Exercise 6.5 | 
| Miscellaneous Exercise | 
Chapter 7 Integrals
In Chapter 7, Integrals, we shall see the definition of indefinite integral, integration as an inverse process of differentiation, geometrical interpretation of indefinite integral, properties of indefinite integral, comparison between differentiation and integration, methods of integration such as integration by substitution, integration using partial fractions, integration by parts, integration using trigonometric identities, integration of some integral functions, definition and meaning of definite integrals, definite integral as the limit of a sum, fundamental theorem of calculus, evaluation of definite integrals by substitution, some properties of definite integrals and miscellaneous examples. Here, we have given exercises with solutions based on these topics from the chapter.
Topics Covered in NCERT Solutions for Class 12 Maths Integrals:
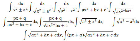
Integration as an inverse process of differentiation. Integration of a variety of functions by substitution, by partial fractions and by parts, Evaluation of simple integrals of the following types and problems based on them.
Definite integrals as a limit of a sum, Fundamental Theorem of Calculus (without proof).Basic properties of definite integrals and evaluation of definite integrals.
| Maths Class 12 NCERT Solutions Chapter 7 Exercises | 
|---|
| Exercise 7.1 | 
| Exercise 7.2 | 
| Exercise 7.3 | 
| Exercise 7.4 | 
| Exercise 7.5 | 
| Exercise 7.6 | 
| Exercise 7.7 | 
| Exercise 7.8 | 
| Exercise 7.9 | 
| Exercise 7.10 | 
| Exercise 7.11 | 
| Miscellaneous Exercise | 
Chapter 8 Applications of Integrals
In Chapter 8 of NCERT textbook, we continue the discussions about integrals starting with definition, area under simple curves, area of the region bounded by a curve and a line, area between two curves and miscellaneous examples. From the below-given links, students can access the exercises with solutions explaining the concepts from this chapter.
Topics Covered in NCERT Solutions for Class 12 Maths Applications of Integrals:
Applications in finding the area under simple curves, especially lines, circles/ parabolas/ellipses (in standard form only), Area between any of the two above said curves (the region should be clearly identifiable). 
| Maths Class 12 NCERT Solutions Chapter 8 Exercises | 
|---|
| Exercise 8.1 | 
| Exercise 8.2 | 
| Miscellaneous Exercise | 
Chapter 9 Differential Equations
In this chapter, students concentrate on the definition of differential equations, basic concepts related to differential equations, degree of a differential equation, order of a differential equation, general and particular solutions of a differential equation, formation of a differential equation whose general solution is given, procedure to form a differential equation that will represent a given family of curves, methods of solving first order, first degree differential equations, differential equations with variable separable, homogeneous differential equations, linear differential equations, procedure involved to solve first order linear differential equations and miscellaneous examples. Solutions to the exercises from the chapter can be accessed from here.
Topics Covered in NCERT Solutions for Class 12 Maths Differential Equations:
Definition, order and degree, general and particular solutions of a differential equation. formation of differential equation whose general solution is given. Solution of differential equations by method of separation of variables, solutions of homogeneous differential equations of first order and first degree. Solutions of linear differential equation of the type: 
dy/dx + py = q, where p and q are functions of x or constants. 
d𝑥 /d𝑦 + px = q, where p and q are functions of y or constants.
| Maths Class 12 NCERT Solutions Chapter 9 Exercises | 
|---|
| Exercise 9.1 | 
| Exercise 9.2 | 
| Exercise 9.3 | 
| Exercise 9.4 | 
| Exercise 9.5 | 
| Exercise 9.6 | 
| Miscellaneous Exercise | 
Chapter 10 Vector Algebra
In this chapter, students are introduced to the vector algebra. The concepts in this chapter cover how to find position vector, some basic concepts related to vector algebra, direction cosines, types of vectors such as zero vector, unit vector, collinear vector, equal vector, negative of a vector, addition of vectors, properties of vector addition, multiplication of a vector by a scalar, components of a vector, vector joining two points, section formula, product of two vectors, scalar or dot product of two vectors, properties of scalar product, projection of a vector on a line, vector or cross product of two vectors and miscellaneous examples. From the below given links, students can access the exercises with solutions explaining the concepts from this chapter.
Topics Covered in NCERT Solutions for Class 12 Maths Vector Algebra:
Vectors and scalars, magnitude and direction of a vector. Direction cosines and direction ratios of a vector. Types of vectors (equal, unit, zero, parallel and collinear vectors), position vector of a point, negative of a vector, components of a vector, addition of vectors, multiplication of a vector by a scalar, position vector of a point dividing a line segment in a given ratio. Definition, Geometrical Interpretation, properties and application of scalar (dot) product of vectors, vector (cross) product of vectors, scalar triple product of vectors.
| Maths Class 12 NCERT Solutions Chapter 10 Exercises | 
|---|
| Exercise 10.1 | 
| Exercise 10.2 | 
| Exercise 10.3 | 
| Exercise 10.4 | 
| Miscellaneous Exercise | 
Chapter 11 Three Dimensional Geometry
Chapter 11 of NCERT Class 12 Maths constitutes topics related to three dimensional geometry, direction cosines and direction ratios of a line, relation between the direction cosines of a line, direction cosines of a line passing through two points, equation of a line in space, equation of a line through a given point and parallel to a given vector, derivation of cartesian form from vector form, equation of a line passing through two given points, angle between two lines, shortest distance between two lines, distance between two skew lines, distance between two parallel lines, plane in cartesian form, equation of a plane in a normal form, equation of a plane perpendicular to a given vector and passing through a given point, equation of a plane passing through three non collinear points, intercept form of the equation of a plane, plane passing through the intersection of two given planes, coplanarity of two lines, angle between two planes, distance of a point from a plane, angle between a line and a plane and miscellaneous examples. Below we have listed links to the solutions for the exercises from this chapter.
Topics Covered in NCERT Solutions for Class 12 Maths Three Dimensional Geometry:
Direction cosines and direction ratios of a line joining two points. Cartesian equation and vector equation of a line, coplanar and skew lines, shortest distance between two lines. Cartesian and vector equation of a plane. Angle between (i) two lines, (ii) two planes, (iii) a line and a plane. Distance of a point from a plane.
| Maths Class 12 NCERT Solutions Chapter 11 Exercises | 
|---|
| Exercise 11.1 | 
| Exercise 11.2 | 
| Exercise 11.3 | 
| Miscellaneous Exercise | 
Chapter 12 Linear Programming
In this chapter, students are introduced to linear programming. The concepts covered in this chapter are linear programming problem and its mathematical formulation, mathematical formulation of the problem, graphical method of solving linear programming problems, different types of linear programming problems with miscellaneous examples. students can find the exercises explaining these concepts properly with solutions.
Topics Covered in NCERT Solutions for Class 12 Maths Linear Programming:
Introduction, related terminology such as constraints, objective function, optimization, different types of linear programming (L.P.) problems, mathematical formulation of L.P. problems, graphical method of solution for problems in two variables, feasible and infeasible regions (bounded or unbounded), feasible and infeasible solutions, optimal feasible solutions (up to three non-trivial constraints).
| Maths Class 12 NCERT Solutions Chapter 12 Exercises | 
|---|
| Exercise 12.1 | 
| Exercise 12.2 | 
| Miscellaneous Exercise | 
Chapter 13 Probability
This chapter deals with probability. By reviewing the basic facts and formulae studied earlier in Class 11, we shall implement those formulas again in this chapter along with the advance concepts mentioned, i.e. conditional probability, properties of conditional probability, multiplication theorem on probability, multiplication rule of probability for more than two events, independent events, Baye’s theorem, partition of a sample space, theorem on total probability, random variables and its probability distributions, probability distribution of random variable, mean of random variable, variance of random variable, Bernoulli trials and binomial distribution with miscellaneous examples. We have compiled here the solutions to exercises from this chapter, which have explained the concept thoroughly.
Topics Covered in NCERT Solutions for Class 12 Maths Probability:
Conditional probability, multiplication theorem on probability, independent events, total probability, Bayes’ theorem, Random variable and its probability distribution, mean and variance of random variable. Binomial probability distribution.
| Maths Class 12 NCERT Solutions Chapter 13 Exercises | 
|---|
| Exercise 13.1 | 
| Exercise 13.2 | 
| Exercise 13.3 | 
| Exercise 13.4 | 
| Exercise 13.5 | 
| Miscellaneous Exercise | 
Comments
Post a Comment